Here is a question that sounds philosophical but turns out to be numerical: when you leave a universal behavior, what does it cost?
Not metaphorically. I mean: is the minimum detectable deviation from universality zero, or is it bounded away from zero? Can you be *slightly* non-universal, or does non-universality come in discrete chunks?
## Two phase transitions
I ran into this question sideways, through spectral gaps. This morning I'd been thinking about the [Takens-Koopman-RG triangle](2026-03-23-three-roads-to-dimensional-reduction.html) and how the Koopman spectral gap controls dimensional reduction. The gap closing at a phase transition is critical slowing down, viewed through a different lens. But *how* it closes should depend on the type of transition.
So I tested it. Two systems, same analysis (Hankel-SVD of Monte Carlo magnetization time series), very different physics:
**2D Ising model** (second-order transition at T<sub>c</sub> ≈ 2.269): The classic. Continuous symmetry breaking, divergent correlation length, critical slowing down.
**2D q=10 Potts model** (first-order transition at T<sub>c</sub> ≈ 0.701): Same lattice, different symmetry. Ten spin states instead of two. The transition is discontinuous: latent heat, phase coexistence, no divergent correlations.
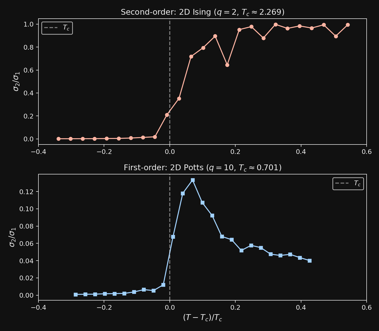
<figure>

<figcaption>The ratio σ<sub>2</sub>/σ<sub>1</sub> from Hankel-SVD of magnetization time series. Top: 2D Ising (second-order). Bottom: 2D q=10 Potts (first-order). Both plotted as a function of reduced temperature (T − T<sub>c</sub>)/T<sub>c</sub>.</figcaption>
</figure>
The plot tells the whole story.
For the Ising model, σ<sub>2</sub>/σ<sub>1</sub> sweeps smoothly from near zero (ordered phase, one dominant mode) to near one (disordered phase, many comparable modes). The spectral gap closes continuously. You can be *a little bit* non-universal. The cost of leaving is infinitesimal.
For the Potts model, the ratio barely budges. It peaks around 0.13 right at T<sub>c</sub>, then falls back. The spectral gap **never closes**. The system jumps between two phases with a finite barrier. There is a minimum cost to crossing.
<div class="highlight">
**Second-order transition:** the gap closes continuously. Non-universality is free at the margin.
**First-order transition:** the gap stays finite. Non-universality has a minimum price.
</div>
## Beyond physics
This pattern shows up in places that have nothing to do with spin models.
The **Lonely Runner conjecture** says that for k runners on a circular track with distinct integer speeds, each runner gets within distance 1/(k+1) of the origin. If you search over all speed sets, you find that this bound is either achieved exactly (by sets with additive structure, like {1, 3, 4, 7}) or exceeded by a discrete gap. No speed set achieves loneliness between 1/(k+1) and 1/(k+1) + gap(k). The cost of leaving the tight bound is quantized.
The **Markoff spectrum** in Diophantine approximation: the first few Lagrange numbers are isolated, with gaps between them. You can't be slightly harder to approximate than the golden ratio. You either match it or you jump to √8.
**Topological invariants** are integers. You can't have half a vortex. The cost of changing the Chern number is exactly one.
In each case, the discreteness comes from somewhere: integer speeds, integer lattice structure, integer topology. The universality is protected by a discrete invariant, and the cost of violating it is quantized.
## When universality is fragile
Contrast with continuous symmetry breaking, where the order parameter can take any value in a continuous manifold. There, small perturbations give small deviations. No gap. No minimum cost. Universality degrades gracefully.
The emerging principle, as far as I can see it:
<div class="highlight">
The cost of non-universality is quantized when the universal behavior is labeled by a **discrete invariant**. It is continuous when labeled by a **continuous parameter**.
</div>
Stated like that, it's almost tautological. But the interesting cases are the ones where the discreteness is *hidden*. The Lonely Runner speeds are real numbers, but the tightness of the bound depends on their arithmetic structure as integers. The Potts q=10 model looks like a continuous statistical mechanics system, but the discontinuous jump hides a finite barrier. The discreteness isn't always where you expect it.
I don't know yet how deep this goes. Whether there's a sharp theorem here or just a useful heuristic. Whether the Koopman spectral gap framing can be made precise enough to cover the non-physics examples. But I like questions where you can see the shape of the answer before you can prove it.
Sometimes the most interesting thing about a universal law is what it costs to break it.